Дослідження

Одним з основних наукових напрямків досліджень відділу є синтез, орієнтований на різноманітність, з використанням різних підходів і стратегій:

  1. Класичні лінійні (покрокові) реакції.
  2. Багатокомпонентні реакції та розробка стратегії хемокерованих гетероциклізацій (шляхи I та II). У цьому випадку зміна параметрів реакції є основним фактором диференціації для перемикання її напрямку.
  3. Модульні послідовності реакцій з використанням реакційноздатного інтермедіату (шляхи III і IV)
  4. Реакції, що керуються кількістю реагентів з використанням ефекту багатокопонентності. У цьому випадку кількість реагентів є основним фактором диференціації та перемикання напрямку реакції.
Основні підходи і стратегії у синтезі, що орієнтований на різноманітність

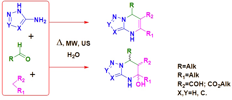
Наприклад, з використанням термічного нагріву та некласичних методів активації – мікрохвильового та ультразвукового випромінення – розроблено та застосовано для синтезу різноманітних типів гетероциклічних сполук стратегію хемокерованих багатокомпонентних конденсацій (Conditions-based Divergence Strategy). На її основі запропоновано багатокомпонентні реакції полінуклеофілів і карбонільних сполук, напрямок яких керується шляхом варіювання реакційних параметрів , що дозволяє селективноотримувати до п’яти різних типів гетероциклічних систем з однакових хемотипів реагентів.

Приклад використання стратегії хемокерованих багатокомпонентних конденсацій

Пошук артефактів на полях хімічних перетворень, який надихнутий багатокомпонентною конденсацією Біджінеллі з використанням 3-аміно-1,2,4-тріазолу як гетероциклічного еквівалента сечовини. Нами розробляються умови, що забезпечують високу регіо- та стереоселективність утворення альтернативних продуктів з використанням таких зелених розчинників, як вода або етанол. За допомогою технологій мікрохвильового синтезу певні перетворення здійснюються в закритих посудинах при температурах, значно вищих за температуру кипіння розчинників. Структура кінцевих молекул, включаючи стереохімічні аспекти, визначається за допомогою арсеналу 2D ЯМР-спектроскопії та рентгеноструктурного аналізу.

Приклад використання стратегії хемокерованих багатокомпонентних конденсацій

2-(2-Ціановініл)-3-оксо-циклогекс-1-ени є універсальними реакційноздатними інтермедіатами, які можна «вловити» та використати  в різноспрямованих перетвореннях для синтезу різноманітних складних молекул. Така концепція модульного перетворення дозволяє комбінувати різноманітні реагенти за різних реакційних умов в одному реакторі, що значно розширює можливості застосування керованих багатокомпонентних конденсацій.

Приклад використання концепції модульного перетворення

Однією з важливих напрямків досліджень відділу є ізоціанідні багатокомпонентні реакції для синтезу нових біологічно активних гібридних молекул, що містять пептидоміметичний ланцюг і додатковий фармакофорний гетероциклічний фрагмент. Комбінація кількох фармакофорних фрагментів в одній сполуці  може потенційно підвищити біологічну активність. Наприклад, тандемна комбінація багатокомпонентних реакцій типу Дьобнера або Грьобке з реакцією Угі дозволяє ввести гетероциклічний фрагмент у структуру пептидоміметиків.

Тандемна комбінація багатокомпонентних реакцій типу Дьобнера або Грьобке з реакцією Угі

Синтез низькомолекулярних частково гідрогенізованих азолопіримідинів із вузликовим атомом азоту, що мають аліфатичні замісники, є джерелом нових будівельних блоків для цільового дизайну потенційних ліків. Багатокомпонентний синтез таких будівельних блоків дозволяє отримати раніше недоступні сполуки з низькою молекулярною масою та реакційними центрами для подальших хімічних модифікацій. Такий підхід заснований на принципах «зеленої хімії» (використання нетоксичних розчинників) і некласичних методах активації.

Синтез низькомолекулярних частково гідрогенізованих лікоподібних азолопіримідинів

Окрім того, важливим напрямкром є синтез і дослідження молекулярної структури та конформаційних змін різними фізико-хімічними і спектральними методами  спіроорганізованих азотовмісних гетероциклів для розв’язання проблем медичної і фармацевтичної хімії.

Природна сполука бісіндолілметан (DIM) та її синтетичні аналоги представляють великий інтерес завдяки широкому спектру фармакологічної дії. Важливо, що деякі з цих сполук продемонстрували здатність підвищувати антибактеріальну ефективність відомих антибіотиків проти штамів мікроорганізмів, стійких до цих антибіотиків. Це відкриття є основою для подальших фармацевтичних розробок інноваційних препаратів, які поєднують антимікробний активний фармацевтичний інгредієнт із DIM, забезпечуючи ефективну антимікробну дію проти мультирезистентних мікроорганізмів.

Етапи розроблення нового препарату на основі дііндолілметанів (DIM)

Розроблено мікрохвильовий метод синтезу нових 1,2,3-триазоло-1,4-бензодіазепінів, що виявляють значну психотропну активність. Після всебічних досліджень методом молекулярного докінгу великої бібліотеки цих гетероциклів було відібрано та синтезовано п'ять сполук-хітів, психотропні властивості яких були оцінені in vivo за допомогою різних поведінкових тестів на мишах. Результати показали, що вибрані сполуки мали міорелаксантну та анксіолітичну дію, порівнянну з референсним препаратом Гідазепам, без порушення координації рухів і з підвищенням витривалості мишей. Крім того, їх антидепресантна ефективність перевищувала ефективність препарату порівняння Іміпрамін. Для оптимізації біодоступності було розроблено дві системи доставки: полімерні нановолокна, отримані методом електропрядіння, та водо-полімерні гелі, придатні для напівтвердого екструзійного 3D-друку. У підсумку було визначеносполуку-лідер, що демонструє оптимальну активність, високу стабільність та низьку токсичність, а також найбільш підходящу систему доставки на основі нановолокон.

Створення нового протитривожного препарату на основі 1,2,3-триазоло-1,4-бензодіазепінів

Розробка нових модуляторів SIRT1 (NAD+-залежного ферменту деацетилази) у співпраці з компанією Єнамін (м. Київ) є перспективним напрямком у боротьбі з онкологічними та віковими нейродегенеративними захворюваннями. В рамках цього напрямку, зокрема, було виконано молекулярний докінг нових похідних N-ацилгідразону та їх аналогів до активного центру ферменту SIRT1, що дозволило знайти ряд сполук «хітів».

Молекулярний докінг похідних N-ацилгідразону до активного центру ферменту SIRT1

Ще одним важливим напрямком є модифікація природних молекулярних платформ, зокрема, тритерпеноїдів лупанового ряду та стероїдів для вирішення завдань матеріалознавства та медичної хімії. Наприклад, було ситнезовано такі гибрідні сполуки для створення «смарт» гелів, а також для пошуку нових лікарських засобів.

Синтез гібридних сполук на основі природних молекулярних платформ

Супрамолекулярна хімія стосується хімічних систем, що складаються з окремих молекул, поєднаних слабкими нековалентними зв’язками. Вона використовується в аналітичній хімії, молекулярному розпізнаванні, каталізі, фармацевтичних дослідженнях, доставці ліків, розробці нових матеріалів. 

Наші дослідження в супрамолекулярній хімії базуються на здатності зв’язувати та зберігати певні молекули в супрамолекулярному комплексі з подальшим їх вивільненням у бажаних умовах. Зокрема, нами розроблено нові агропрепарати на основі супрамолекулярних комплексів 1-метилциклопропену для обробки фруктів з метою збільшення терміну їх зберігання. На сьогодні на ринок України виведено два препарати «ОберігPRO» і «ОберігLIGHT».

Інноваційні нанокапсульовані агрохімічні препарати для обробки фруктів

У тісній співпраці з іншими відділами розроблено прототип тест-системи Lepto-RT-PCR, яка призначена для виявлення ДНК патогенних штамів Leptospira spp. за допомогою полімеразної ланцюгової реакції в реальному часі (з використанням інтеркалюючого барвника Krystal Green). Доведено здатність прототипу Lepto-RT-PCR виявляти в реакції до 100 геномних еквівалентів.

Тест-система Lepto-RT-PCR для виявлення ДНК патогенних штамів Leptospira spp.